The Graphs of the Reciprocal Trig Functions
Graphing the reciprocal trig functions cosecant, secant, and cotangent
Problem: Find the exact value of \(\sin(-45^\circ)\) and \(\sec\left(-\dfrac{2\pi}{3}\right).\)
Coterminal Angle: Angles in standard position (with the initial side on the positive x-axis) that have a common terminal side. Coterminal angles differ by multiples of \(360^\circ\) or 2\(\pi\) in radians.
(For more info see the coterminal angles section.)
Graphing the reciprocal trig functions cosecant, secant, and cotangent
Finding the angles where sine has a given value using the unit circle
Finding the angle where secant has a given value and tangent is positive
Finding the values of trig functions with the unit circle
Finding the exact value of secant, cosecant, and cotangent using the unit circle
Using the unit circle to sketch the graph of the tangent function
Using the unit circle to sketch the graph of the sine function
Verifying a trigonometric identity
Verifying a trigonometric identity
Converting parametric equations into a Cartesian equation and graphing
Explaining the trigonometric ratios of right triangles for sine, cosine, and tangent
Finding the exact values of cosine and cotangent for given angles using the unit circle
Finding the exact value of tangent for several given angles using the unit circle
Using the unit circle to sketch the graph of the cosine function
Writing the sine and cosine functions for a given graph
Graphing a period of a transformed sine function
Using the sum identities of sine and cosine to derive the double angle identities
Using the difference identities of sine and cosine to derive the cofunction identities
Using the double angle identities for cosein to derive the half-angle identities for sine and cosine
Using the Sum Identity for Trig to find the exact value of sine
Using a Double Angle Identity to find the exact value of an expression with sine and cosine
Using the Half-Angle Identities to find the exact values of sine, cosine, and tangent
Finding all solutions to a trigonometric equation with sine
Solving a trigonometric equation with sine and cosine by factoring
Solving a trigonometric equation with tangent and sine by factoring
Solving a trig equation with sine and cosine using aPythagorean Identity
Solving a trig equation with cotangent and cosecant using trig identities
Solving a trig equation with sine and tangent using a trig identity
Solving a trig equation with sine and cosine using trig identities
Evaluating all six trigonometric functions for a right triangle
Evaluating all six trigonometric functions for a right triangle
Evaluating all six trigonometric functions for angles in degrees and radians
Solving a limit example with a trigonometric functions
Solving a limit example with a trigonometric function
Evaluating a trigonometric limit using trigonometric identities
Determining the properties of a sine function and graphing it
Writing the equation for a sine function with certain characteristics
Writing the equation for a sine function to match a given graph
Evaluating compositions with inverse trigonometric functions
Evaluating compositions with inverse trigonometric functions
Writing an equivalent algebraic expression for compositions with inverse trigonometric functions containing variables
Solving a trigonometric equation
Using a double angle formula to solve a trigonometric equation
Using a double angle formula to solve a trigonometric equation
Using double angle formulas to evaluate trigonometric functions
Using a difference formula to evaluate a trigonometric function
Using a sum formula to rewrite a trigonometric expression
Using the Law of Sines to solve a triangle
Using the Law of Sines to solve a triangle
Using the Law of Sines to solve a triangle
Review of limits and derivatives of inverse trigonometric functions
Review of limits and derivatives of inverse trigonometric functions
Properties and derivatives of inverse trigonometric functions
Properties and derivatives of inverse trigonometric functions
Evaluating a composition of trigonometric and inverse trigonometric functions
Simplifying expressions containing trigonometric and inverse trigonometric functions
Finding a Cartesian equation for a parametric curve
Using vectors to find the magnitude and direction of a resultant force
Evaluating compositions of trigonometric and inverse trigonometric functions
Converting parametric equations into a Cartesian equation
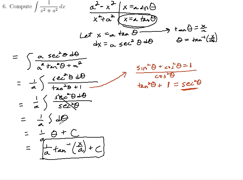
Review of trigonometric substitution
Integrating a function with sine using u-substitution
Converting parametric equations into a Cartesian equation and graphing
Using trigonometric identities to integrate powers of sine and cosine
Proving facts about the derivatives of vector functions including the product rule
Review of limits and derivatives of inverse trigonometric functions
Review of limits and derivatives of inverse trigonometric functions
Properties of inverse trig functions and the derivative of arctangent
Properties and derivatives of inverse trigonometric functions
Proving the derivatives of trigonometric functions and that sine is continuous
Properties and derivatives of inverse trigonometric functions
Properties of inverse trig functions and the derivative of arctangent
Using u substitution to evaluate integrals and prove facts about logarithms and integrals and
Review of trigonometric substitution
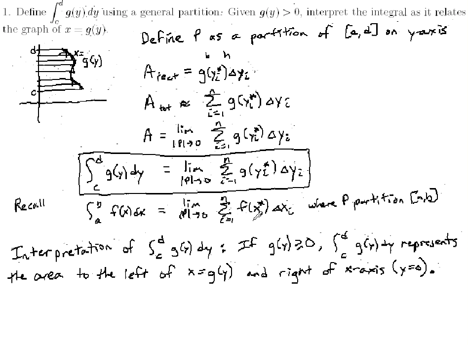
Interpreting integrals to represent areas between curves
Proving trigonometric identities useful for integration
Using trigonometric identities to integrate powers of sine and cosine
Integrating using a trigonometric substitution
Finding a partial fraction decomposition and integrating using partial fractions
Using a rotation map matrix to rotate a 2-dimensional vector by the angle \(\pi\)
Finding the six trigonometric ratios for a right triangle
Using trig to find the length of the side of a right triangle given an angle and side length
Using trig to find an angle in a right triangle with two given sides
Explaining the special right triangles and the relationships between their sides
Discussing the degree and radian measure of special angles on the unit circle
The coordinates for the quadrantal angles on the unit circle
Finding the coordinates on the unit circle for the common angles in the first quadrant
Finding the coordinates on the unit circle for all the common angles
Finding a coterminal angle along with its reference angle and graphing it
Finding a coterminal angle along with its reference angle and graphing it
Defining coterminal angles and how to determine if angles are coterminal
Finding a negative and positive coterminal angle for a given angle
Graphing a period of a transformed cosine function
Using the reciprocal and ratio trig identities to simplify an expression
Using the Pythagorean Identities to simplify a trig expression
Using the Pythagorean Trig Identity to derive the secondary Pythagorean Identities
Using the Sum and Difference Identities to find the exact value of cosine
Using the Reciprocal, Ratio, and Pythagorean Identities to verify a trig identity
Proving a trigonometric identity involving secant, cotangent, and tangent
Proving a trig identity involving sine and cosine
Proving a trig identity involving sine, cosine, and cotangent
Solving a trigonometric equation with secant by factoring
Using the Even/Odd and Cofunction Identities to solve an equation with sine
Solving a trig equation with cosine using trig identities
Solving a trig equation with cotangent and sine using trig identities
Using trigonometry to determine the edge lengths of a right triangle
Evaluating trigonometric functions given a point on the terminal side of an angle
Evaluating trigonometric functions given a point on the terminal side of an angle
Finding trigonometric functions given information about the angle
Writing the equation for a cosine function to match a given graph
Determining the properties of a cosine function and graphing it
Writing the equation for a cossine function with certain characteristics
Using inverse trigonometry to write an expression for an angle in a right triangle
Evaluating a composition of trigonometric and inverse trigonometric functions
Solving a trigonometric equation
Solving a trigonometric equation
Solving a trigonometric equation by factoring
Solving a trigonometric equation
Using a double angle formula to solve a trigonometric equation
Solving a trigonometric equation
Solving a trigonometric equation
Using a sum formula to evaluate a trigonometric expression
Using a sum formula to evaluate a trigonometric expression
Using the Law of Cosines to solve a triangle
Finding the properties of a transformed tangent function and graphing it
Cartesian equations and parametric equations of curves
Derivatives and vectors with some physics applications
Tangent lines to parametric equations and related rates examples
Review of vector functions and parametric equations
Implicit differentiation and physics applications of derivatives
Derivatives of parametric equations and tangent lines
Reviewing the chain rule and the derivatives and limits of trigonometric functions
Mean Value Theorem and using derivatives to find the shape of curves
Antiderivatives and physics applications
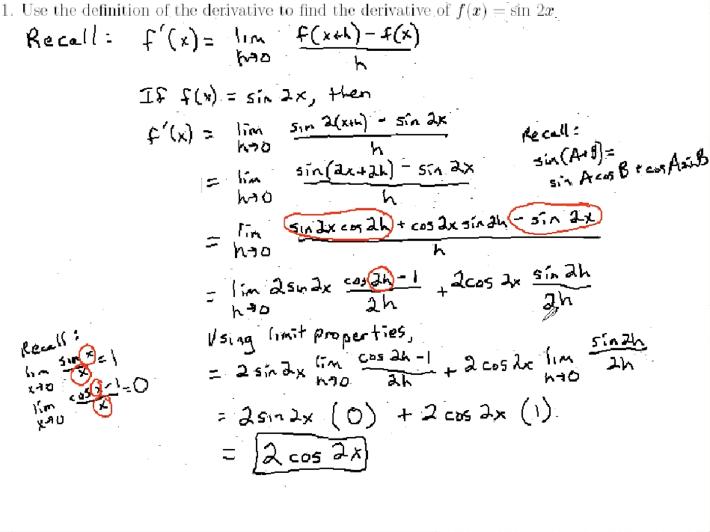
Derivatives of trigonometric functions and using the Chain Rule
Derivatives of trigonometric functions and using the Chain Rule
Derivatives and vectors with some physics applications
Implicit differentiation and finding tangent lines
Derivatives of exponential and logarithmic functions and the exponential model
Derivatives and vectors with some physics applications
Derivatives of exponential and logarithmic functions and the exponential model
Tangent lines to parametric equations and related rates examples
Mean Value Theorem and properties of a graph
Mean Value Theorem and properties of a graph
Using L'Hospital's Rule to solve limits
Riemann sums, including approximating areas under curves.
Using Reimann sums and the Fundamental Theorem of Calculus
Using Riemann sums and the Fundamental Theorem of Calculus
Using the Chain Rule to differentiate functions
Using the Chain Rule to differentiate functions with exponential and trigonometric functions
Using the Chain Rule to differentiate a function containing trigonometric functions
Using the Chain Rule to find the pattern for a higher order derivative
Finding the derivative using implicit differentiation
Finding the derivative using implicit differentiation
Finding the derivative using implicit differentiation
Finding the derivative using implicit differentiation
Finding a tangent line to an curve defined implicitly
Finding the derivative of a function containing a logarithmic function
Finding the derivatives of functions containing logarithms
Finding the derivative of a function containing a logarithms
Using logarithmic differentiation to find the derivative of a function
Using logarithmic differentiation to find the derivative of a function
Graphing a vector function by converting it to a Cartesian equation
Finding the tangent line to a parametric curve
Using the Product and Chain Rule to find several derivatives
Using the Product, Quotient and Chain Rules to find several derivatives
Using the Quotient and Chain Rules to find several derivatives
Using the Product and Chain Rules to differentiate functions with logarithms
Differentiating functions with logarithmic and inverse trigonometric functions
Differentiating functions with inverse trigonometric functions
Finding the derivative of an implicit function
Finding the derivative of an implicit function
Using the chain rule to find a derivative
Using logarithmic differentiation to find the derivative of a function
Using logarithmic differentiation to find the derivative of a function
Finding where a function has horizontal tangent lines
Finding a higher order derivative of a function
Finding the absolute maximum and absolute minimum values of a function on a closed interval
Evaluating a limit using L'Hospital's Rule
Finding the antiderivative of a function
Finding a function from its second derivative using antidifferentiation
Antidifferentiating twice to find a function from its second derivative
Antidifferentiating twice to find a function from its second derivative
Antidifferentiating to find a function from its derivative
Antidifferentiating twice to find a function from its second derivative
Antidifferentiating twice to find a function from its second derivative
Using antidifferentiation to find the height of a cliff from the impact speed of a dropped stone
Evaluating a limit with an indeterminant product using L'Hospital's Rule
Finding the antiderivative of a function and using a function value to find the constant
Calculating a composition of tangent and arcsine
Finding the derivative of an implicit function
Finding the derivative of an implicit function
Determining the rate that the area of a triangle is increasing based on the rate an angle is increasing
Using L'Hospital's Rule to solve a limit
Using the Fundamental Theorem of Calculus to find the derivative of a function defined using an integral
Evaluating a definite integral with an exponential and sine function
Using u-substitution to evaluate an indefinite integral
Using u-substitution to evaluate an indefinite integral
Review of sequences and finding the sum of a series
Review of Taylor and Maclaurin Series and their properties
Finding Taylor and Maclaurin Series for functions
Evaluating an integral using integration by parts
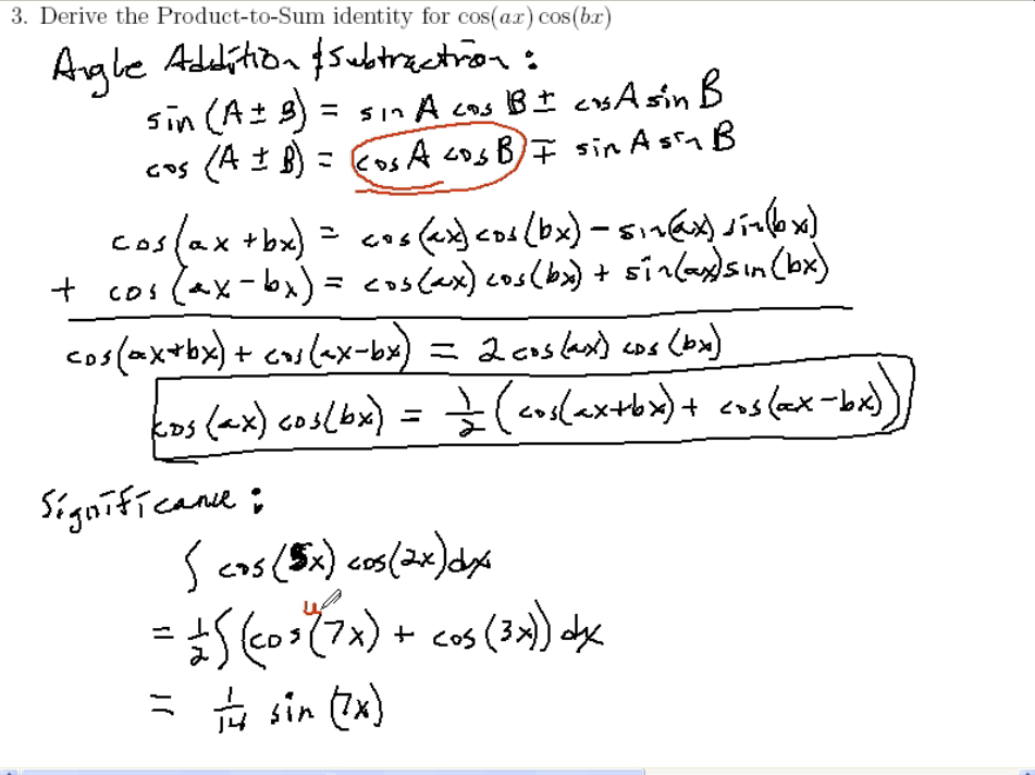
Evaluating an integral using trigonometric identities
Evaluating an integral using trigonometric identities
Evaluating an integral using trigonometric identities
Determining if a series converges or diverges
Using the limit comparison test to determine if a series converges or diverges
Using the Alternating Series Test to determine if a series converges or diverges
Using the Alternating Series Test to determine if a series converges or diverges
Evaluating a definite integral by rewriting the integrand as its Maclaurin series
Find the integral representing the surface area of a rotated parametric curve
Finding the area of a region defined using polar coordinates
Finding the area of a region defined using polar coordinates
Using integration by parts twice for an integral with sine and an exponential function
Using trigonometric identities to integrate powers of secant and tangent
Using trigonometric identities to solve an integral with powers of sine and cosine
Using trigonometric identities to integrate a power of cosine
Using a trigonometric identity to integrate powers of sine and cosine
Using a trigonometric identity to integrate powers of sine and cosine
Using trigonometric identities to integrate even powers of sine and cosine
Using u-substitution on an indefinite integral with an exponential function, sine, and cosine
Explaining the cases for using trigonometric substitution
Proving a certain parameterization gives the unit circle and showing vector equations of lines are parallel
Cartesian equations and parametric equations of curves
Derivatives and vectors with some physics applications
Derivatives and vectors with some physics applications
Calculating slopes of tangent lines to parametric curves
Tangent lines to parametric equations and related rates examples
Review of vector functions and parametric equations
Implicit differentiation and physics applications of derivatives
Derivatives of parametric equations and tangent lines
Reviewing the chain rule and the derivatives and limits of trigonometric functions
Mean Value Theorem and using derivatives to find the shape of curves
Antiderivatives and physics applications
Proving a property of scalar multiplication for limits using the epsilon-delta definition and using the Squeeze Theorem for Limits.
Derivatives of trigonometric functions and using the Chain Rule
Examples involving the tangent line to an exponential function and finding the derivative of hyperbolic cosine
Derivatives of trigonometric functions and using the Chain Rule
Derivatives and vectors with some physics applications
Implicit differentiation and finding tangent lines
Derivatives of exponential and logarithmic functions and the exponential model
Tangent lines to parametric equations and related rates examples
Mean Value Theorem and properties of a graph
Mean Value Theorem and properties of a graph
Using L'Hospital's Rule to solve limits
Riemann sums, including approximating areas under curves.
Using Reimann sums and the Fundamental Theorem of Calculus
Using Reimann sums and the Fundamental Theorem of Calculus
Review of sequences and finding the sum of a series
Review of Taylor and Maclaurin Series and their properties
Finding Taylor and Maclaurin Series for functions
Reviewing Taylor and Maclaurin Series and Taylor's Inequality
Using trigonometric identities to integrate powers of secant and tangent
Explaining the cases for using trigonometric substitution
Calculating the length of the cross product of two vectors given information about the vectors
Finding the limit of a three-dimensional vector function
Finding a vector equation for the tangent line to a three-dimensional vector function
Finding the angle of intersection for two three-dimensional vector functions
Finding the length of a three-dimensional curve
Finding the position vector function given the velocity and an initial position
Finding the partial derivatives of a function of two variables
Finding the partial derivatives of a function of three variables
Finding all second-order partial derivatives of a function of two variables
Finding the maximum rate of change and the direction it occurs for a function of two variables
Evaluating a double integral over a rectangle
Evaluating a double integral by changing to polar coordinates
Evaluating a double integral by changing to polar coordinates
Using an iterated integral in spherical coordinates to find the volume of a solid
Evaluating a triple integral for a given solid by writing an iterated integral in spherical coordinates
Evaluating a line integral along half a circle
Evaluating a line integral of a vector field along an curve
Using Green's Theorem to evaluate a line integral on a closed curve
Finding the curl and divergence of a three dimensional vector field
Evaluating a surface integral over a cylinder
Using the Divergence Theorem to evaluate the surface integral of a vector field
Using Python to numerically, graphically, and analytically find the limit of a sequence
Explaining the Pythagorean Theorem and using it to find a missing side in a right triangle
Special Right Triangles Exercise 1
Special Right Triangles Exercise 2
Defining radians for angle measure using the corresponding arc length on a unit circle
Converting an angle measured in degrees to radians
Converting angles measured in radians to degrees
How to find reference angles for angles in standard position
Drawing an angle in standard position and finding its reference angle
Drawing an angle in standard position and finding its reference angle
Drawing an angle in standard position
Finding the values of \(\theta\) that makes a matrix with trig functions invertible
Determining whether trigonometric functions are linearly independent
Finding the dimension of the subspace spanned by a set of functions
Using trigonometry to determine the height of a tree