Solving Trigonometric Equations Exercise 1
Finding all solutions to a trigonometric equation with sine
Problem: Find all values of \(x\) satisfying \(\sec^2{x}+\sec{x}=2.\)
Finding all solutions to a trigonometric equation with sine
Solving a trig equation with sine and cosine using aPythagorean Identity
Solving a trigonometric equation by factoring
Solving a trigonometric equation
Finding the exact value of secant, cosecant, and cotangent using the unit circle
Graphing the reciprocal trig functions cosecant, secant, and cotangent
Solving a trigonometric equation with sine and cosine by factoring
Solving a trigonometric equation with tangent and sine by factoring
Solving an equation with exponential functions
Finding the difference quotient for a quadratic function
Evaluating a trigonometric limit using trigonometric identities
Factoring a quadratic
Factoring a polynomial
Factoring a quadratic
Dividing rational expressions and simplifying
Subtracting rational expressions and simplifying
Performing operations with rational expressions and simplifying
Performing operations with rational expressions and simplifying
Finding the x-intercepts of quadratic functions
Solving a nonlinear inequality
Solving a nonlinear inequality
Solving a nonlinear inequality
Verifying a trigonometric identity
Solving a trigonometric equation
Review of limits and derivatives of inverse trigonometric functions
Review of limits and derivatives of inverse trigonometric functions
Review of trigonometric substitution
Using trigonometric identities to integrate powers of secant and tangent
Review of limits and derivatives of inverse trigonometric functions
Review of limits and derivatives of inverse trigonometric functions
Properties of inverse trig functions and the derivative of arctangent
Proving the derivatives of trigonometric functions and that sine is continuous
Properties of inverse trig functions and the derivative of arctangent
Review of trigonometric substitution
Using trigonometric identities to integrate powers of secant and tangent
Integrating using a trigonometric substitution
Finding the domain of a function with a natural logarithm and denominator
Explaining the standard form for a quadratic equation and the possible number of solutions
Solving quadratic equations with the difference of two squares formula
Solving quadratic equations by factoring
Solving a quadratic equation by factoring
Solving a quadratic equation by factoring
Solving quadratic equations with the quadratic formula and discussing the number of possible solutions
Explaining the trigonometric ratios of right triangles for sine, cosine, and tangent
Finding the six trigonometric ratios for a right triangle
Using trig to find the length of the side of a right triangle given an angle and side length
Using trig to find an angle in a right triangle with two given sides
Explaining the special right triangles and the relationships between their sides
Finding the exact values of cosine and cotangent for given angles using the unit circle
Finding the exact values of sine and secant for several given angles using the unit circle
Finding the angles where sine has a given value using the unit circle
Finding the angle where secant has a given value and tangent is positive
Finding the values of trig functions with the unit circle
Finding the exact value of tangent for several given angles using the unit circle
Using the unit circle to sketch the graph of the sine function
Using the unit circle to sketch the graph of the cosine function
Using the unit circle to sketch the graph of the tangent function
Graphing a period of a transformed sine function
Graphing a period of a transformed cosine function
Writing the sine and cosine functions for a given graph
Using the reciprocal and ratio trig identities to simplify an expression
Using the Pythagorean Identities to simplify a trig expression
Using the Pythagorean Trig Identity to derive the secondary Pythagorean Identities
Using the sum identities of sine and cosine to derive the double angle identities
Using the difference identities of sine and cosine to derive the cofunction identities
Using the double angle identities for cosein to derive the half-angle identities for sine and cosine
Using the Sum and Difference Identities to find the exact value of cosine
Using the Sum Identity for Trig to find the exact value of sine
Using a Double Angle Identity to find the exact value of an expression with sine and cosine
Using the Half-Angle Identities to find the exact values of sine, cosine, and tangent
Using the Reciprocal, Ratio, and Pythagorean Identities to verify a trig identity
Proving a trigonometric identity involving secant, cotangent, and tangent
Proving a trig identity involving sine and cosine
Proving a trig identity involving sine, cosine, and cotangent
Using the Even/Odd and Cofunction Identities to solve an equation with sine
Solving a trig equation with cotangent and cosecant using trig identities
Solving a trig equation with sine and tangent using a trig identity
Solving a trig equation with sine and cosine using trig identities
Solving a trig equation with cosine using trig identities
Solving a trig equation with cotangent and sine using trig identities
Solving an equation with logarithmic functions
Solving an equation with logarithmic functions
Solving an equation with logarithmic functions
Evaluating all six trigonometric functions for a right triangle
Finding trigonometric functions given information about the angle
Evaluating all six trigonometric functions for angles in degrees and radians
Factoring a sum of cubes and a difference of cubes
Factoring a quadratic polynomial
Factoring a quadratic function
Factoring a quadratic where the leading coefficient is 1
Factoring quadratics where the leading coefficient is not 1
Solving an inequality with a quadratic by factoring and using a sign diagram
Finding the values of all six trigonometric functions of an angle given a right triangle
Evaluating the other five trigonometric functions for an acute angle given the value of sine
Evaluating the other five trigonometric functions given sine and that tangent is negative
Solving an quadratic-like equation with sine by factoring
Finding the maximum revenue, maximum profit, and break even quantity for given revenue and cost functions
Identifying quadratic functions and their properties
Finding the piecewise-defined function for a given graph along with its domain and range
Graphing a piecewise function
Identifying the parent function and transformations for a given graph
Subtracting rational functions and then simplifying the result
Multiplying two rational functions and simplifying the result
Dividing rational functions and simplifying the result
Dividing and subtraction rational functions and simplifying the result
Solving a limit example with a trigonometric functions
Solving a limit example with a trigonometric function
Factoring an algebraic expression
Solving an equation using the quadratic formula
Solving a quadratic equation by completing the square
Solving a polynomial equation using factoring by grouping
Solving a quadratic equation using the quadratic formula
Putting a quadratic function in standard form and determining its properties
Putting a quadratic function in standard form and determining its properties
Putting a quadratic function in standard form and determining its properties
Finding the end behavior of a polynomial
Finding properties of a polynomial including zeros and end behavior
Finding properties of a polynomial including zeros and end behavior
Finding properties of a polynomial including zeros and end behavior
Using properties of a polynomial to find its graph
Solving a nonlinear inequality
Solving an equation with exponential functions by factoring
Determining the properties of a sine function and graphing it
Writing the equation for a sine function with certain characteristics
Determining the properties of a cosine function and graphing it
Writing the equation for a cossine function with certain characteristics
Writing the equation for a sine function to match a given graph
Writing the equation for a cosine function to match a given graph
Evaluating compositions with inverse trigonometric functions
Evaluating compositions with inverse trigonometric functions
Writing an equivalent algebraic expression for compositions with inverse trigonometric functions containing variables
Using inverse trigonometry to write an expression for an angle in a right triangle
Evaluating a composition of trigonometric and inverse trigonometric functions
Verifying a trigonometric identity
Solving a trigonometric equation
Solving a trigonometric equation
Solving a trigonometric equation
Solving a trigonometric equation
Using a double angle formula to solve a trigonometric equation
Using a double angle formula to solve a trigonometric equation
Using a double angle formula to solve a trigonometric equation
Using double angle formulas to evaluate trigonometric functions
Using a difference formula to evaluate a trigonometric function
Using a sum formula to evaluate a trigonometric expression
Using a sum formula to evaluate a trigonometric expression
Using a sum formula to rewrite a trigonometric expression
Using the Law of Sines to solve a triangle
Using the Law of Sines to solve a triangle
Using the Law of Cosines to solve a triangle
Using the Law of Sines to solve a triangle
Finding the properties of a transformed tangent function and graphing it
Reviewing the chain rule and the derivatives and limits of trigonometric functions
Properties and derivatives of inverse trigonometric functions
Differentials, linear approximations and quadratic approximations
Derivatives of trigonometric functions and using the Chain Rule
Derivatives of trigonometric functions and using the Chain Rule
Properties and derivatives of inverse trigonometric functions
Evaluating a composition of trigonometric and inverse trigonometric functions
Simplifying expressions containing trigonometric and inverse trigonometric functions
Finding a Cartesian equation for a parametric curve
Using vectors to find the magnitude and direction of a resultant force
Evaluating compositions of trigonometric and inverse trigonometric functions
Using the Chain Rule to differentiate functions with exponential and trigonometric functions
Using the Chain Rule to differentiate a function containing trigonometric functions
Using the Product, Quotient and Chain Rules to find several derivatives
Finding the derivative of an implicit function
Finding the derivative of an implicit function
Finding the antiderivative of a function with secant and tangent
Converting parametric equations into a Cartesian equation
Calculating a composition of tangent and arcsine
Review of work and average value
Converting parametric equations into a Cartesian equation and graphing
Converting parametric equations into a Cartesian equation and graphing
Finding the length of a curve given by parametric equations
Using a trigonometric identity to integrate powers of secant and tangent
Using a trigonometric identity to integrate powers of secant and tangent
Evaluating an integral using trigonometric identities
Evaluating an integral using trigonometric identities
Using trigonometric identities to integrate powers of sine and cosine
Integrating a function with sine using u-substitution
Explaining all four cases of partial fraction decomposition
Explaining the cases for using trigonometric substitution
Proving facts about the derivatives of vector functions including the product rule
Reviewing the chain rule and the derivatives and limits of trigonometric functions
Properties and derivatives of inverse trigonometric functions
Proving a property of scalar multiplication for limits using the epsilon-delta definition and using the Squeeze Theorem for Limits.
Differentials, linear approximations, and quadratic approximations
Derivatives of trigonometric functions and using the Chain Rule
Using the Chain Rule to prove facts about derivatives
Derivatives of trigonometric functions and using the Chain Rule
Properties and derivatives of inverse trigonometric functions
Using u substitution to evaluate integrals and prove facts about logarithms and integrals and
Proving the Fundamental Theorem of Calculus and examples of u Substitution
Review of work and average value
Interpreting integrals to represent areas between curves
Using integrals to solve work problems and find the average value
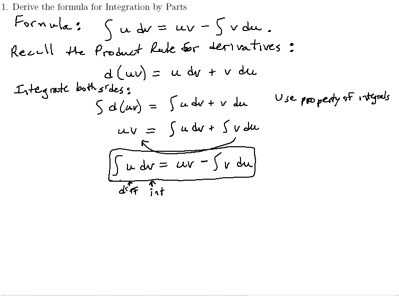
Proving the formula for integration by parts and a reduction formula
Proving trigonometric identities useful for integration
Using trigonometric identities to integrate powers of sine and cosine
Explaining the cases for using trigonometric substitution
Finding a partial fraction decomposition and integrating using partial fractions
Explaining all four cases of partial fraction decomposition
Finding the limit of a three-dimensional vector function
Finding the partial derivatives of a function of three variables
Evaluating a double integral over a rectangle
Creating symbolic expression in Python and then factoring, expanding, and simplifying the expressions
Finding the domain of a rational function using factoring
Explaining when a quadratic equation does not have a real solution
Explaining the graph and properties for the parent function of quadratics
Discussing properties of quadratic functions including the vertex, domain, range, and end behavior
How to simplify rational expressions
Solving an equation that contains rational expressions
Solving an equation that contains rational expressions
Explaining all four cases of partial fraction decomposition
Using a rotation map matrix to rotate a 2-dimensional vector by the angle \(\pi\)
Explaining the Pythagorean Theorem and using it to find a missing side in a right triangle
Special Right Triangles Exercise 1
Special Right Triangles Exercise 2
Discussing the degree and radian measure of special angles on the unit circle
The coordinates for the quadrantal angles on the unit circle
Finding the coordinates on the unit circle for the common angles in the first quadrant
Finding the coordinates on the unit circle for all the common angles
Defining radians for angle measure using the corresponding arc length on a unit circle
Converting an angle measured in degrees to radians
Converting angles measured in radians to degrees
How to find reference angles for angles in standard position
Defining coterminal angles and how to determine if angles are coterminal
Drawing an angle in standard position
Finding a negative and positive coterminal angle for a given angle
Drawing an angle in standard position and finding its reference angle
Drawing an angle in standard position and finding its reference angle
Finding a coterminal angle along with its reference angle and graphing it
Finding a coterminal angle along with its reference angle and graphing it
Finding the values of \(\theta\) that makes a matrix with trig functions invertible
Determining whether trigonometric functions are linearly independent
Finding the dimension of the subspace spanned by a set of functions
Finding the coordinate vector of a quadratic given a basis for the vector space
Solving a rational equation and checking the solutions
Finding the properties of a quadratic function such as the vertex, axis of symmetry, intercepts, etc.
Using trigonometry to determine the edge lengths of a right triangle
Evaluating trigonometric functions given a point on the terminal side of an angle
Evaluating trigonometric functions given a point on the terminal side of an angle
Evaluating all six trigonometric functions for a right triangle
Using trigonometry to determine the height of a tree
Factoring several polynomials by grouping
Factoring a difference of two squares
Factoring a cubic polynomial by grouping
Finding the greatest common factor of a polynomial and then factoring it out
Simplifying a rational expression
Adding and then simplifying two rational expressions
Multiplying two rational expressions and then simplifying
Dividing rational expressions and then simplifying the answer
Adding two rational expressions and then simplifying the answer
Finding any holes, vertical asymptotes, and horizontal asymptotes of a rational function
Finding any holes, vertical asymptotes, and horizontal asymptotes of a rational function
Matching a rational function with its graph
Using the quadratic formula to find the roots of a function
Finding the roots of a cubic polynomial
Finding the roots of a square root function
Finding the domain of a function with a quadratic inside a square root
Finding the composition of a rational function and a quadratic
Finding and simplifying the difference quotient for a quadratic function
Solving an inequality with a polynomial by factoring and using a sign diagram
Solving an inequality with a rational expression by factoring and using a sign diagram
Solving an inequality with two rational expressions using a sign diagram
Solving an inequality with a rational expression using a sign diagram
Finding the absolute maximum or absolute minimum of a quadratic
Writing the standard form of quadratic function given its vertex and one other point
Solving an equation with exponential functions by factoring
Solving a equation with exponential functions by factoring
Evaluating a composition of tangent and arccosine
Finding the solutions to an equation with tangent in a given interval
Solving a trigonometric equation with sine and cosine on a given interval
Solving an equation with cosine on a given interval
Solving a trigonometric equation with sine on a given interval
Sketching one period of a transformed sine graph
Finding the amplitude, period, phase shift, and vertical shift for a given sine function
Writing a cosine function for a given graph