Scroll to Top

Virtual Math Learning Center

Virtual Math Learning Center Texas A&M University Virtual Math Learning Center

Search Videos

Loading...

Approximating the Area Under a Curve Using Rectangles: MATH 142

Using rectangles to approximate the area under a curve

Approximating the Area Under a Curve Using Rectangles: MATH 142

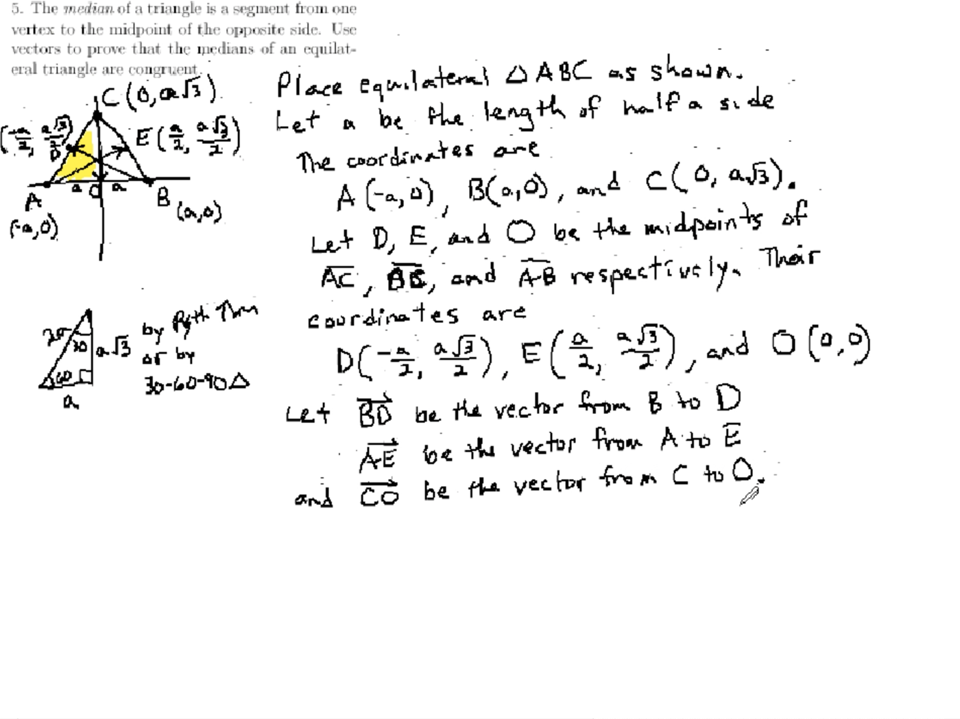
Vectors: MATH 171 Problems 5 & 6

Using vectors to prove facts about equilateral triangles and a scalar multiplication property for the dot product

Vectors: MATH 171 Problems 5 & 6

Vectors: MATH 171 Problems 5 & 6

Using vectors to prove facts about equilateral triangles and a scalar multiplication property for the dot product

Vectors: MATH 171 Problems 5 & 6

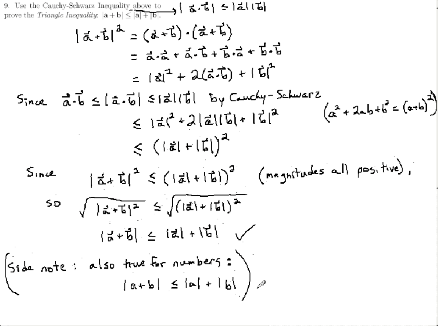
Dot Product: MATH 171 Problems 9 & 10

Proving the Triangle Inequality and a property of the midpoints of rectangles

Dot Product: MATH 171 Problems 9 & 10

Derivatives and Applications: MATH 151 Problems 9-15

Tangent lines to parametric equations and related rates examples

Derivatives and Applications: MATH 151 Problems 9-15

Review for the Common Exam: MATH 151 Exam 3 Review Problems 8-15

Review of limits and derivatives of inverse trigonometric functions

Review for the Common Exam: MATH 151 Exam 3 Review Problems 8-15

Review for the Common Exam: MATH 151 Exam 2 Review Problems 16-20

Derivatives of parametric equations and tangent lines

Review for the Common Exam: MATH 151 Exam 2 Review Problems 16-20

Review for the Common Exam: MATH 151 Exam 3 Review Problems 8-15

Review of limits and derivatives of inverse trigonometric functions

Review for the Common Exam: MATH 151 Exam 3 Review Problems 8-15

Inverse Trigonometric Functions: MATH 171 Problems 4-6

Properties of inverse trig functions and the derivative of arctangent

Inverse Trigonometric Functions: MATH 171 Problems 4-6